如您对产品有任何问题,可以马上联系我们
详情介绍
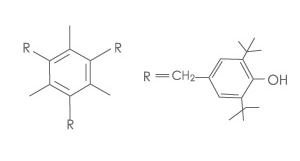
抗氧剂1330
CAS:1709-70-2
化学名称:1,3,5-三甲基-2,4,6-(3,5-二叔丁基-4-羟基苯甲基)苯
结构式:
[技 术 指 标]
指标名称 | 指标 | |
外 观 | 白色或淡黄色结晶粉末 | |
熔 点 ℃ | 240.5-245.5 | |
灰 分 % | ≤0.1 | |
透光率% | 425nm | ≥96.0 |
透光率% | 500nm | ≥97.0 |
溶解性 | 清澈 | |
含 量 % | ≥98.0 | |
挥发性 % | ≤0.1 | |
应 用:
本品适用于聚烯烃、PET、PBT、聚酰胺、苯乙烯类树脂及聚氨酯、天然橡胶等弹性体材料,具有与树脂相容性好、耐萃取、低挥发、抗氧效率高和电绝缘性好 等特点,特别适用于高温加工的聚烯烃管材、注塑制品、电线电缆等制品的加工领域。本品与亚磷酸酯、硫代酯等辅助抗氧剂和碳自由基捕获剂具有良好的协同效 果。根据应用树脂、加工条件和应用环境的不同,抗氧剂 1330的推荐用量为:聚烯烃树脂:0.05-0.5% ;热熔黏合剂:0.2-1.0%;合成增粘树脂:0.1-0.5%。
用 量:一般用量为0.3-0.5份(只供参考,实际应参照试验用量)
包装贮运:
◆纸桶/纸箱包装,内衬塑料袋,净重为每桶/箱25公斤。
◆在运输、贮存之前应检查产品包装是否无损,在运输、贮存过程中应分类堆放在干燥、清洁阴凉的库房中,严防产品受潮、受热、变质。
-
品质保障
一直以来公司的产品备受业内客户的好评,跟各大进出口公司合作中已拓展欧美、东南亚、非洲等地区的橡塑制品合作单位。
-
实力强大
公司从2003年开始橡塑助剂的研发与销售,现在是中国橡胶、塑料工业协会会员单位,老化助剂专业研发委员会理事单位。
-
技术先进
我公司拥有高水平的技术团队,先进的全自动控制生产设备,结合先进的生产工艺,严格按照环境保护法则落实生产环保处理相结合的理念。
-
持续创新
我公司每年都在投入研发更多可以提高高分子材料性能的助剂,为各行业带来更多可选择的产品。
紫外线吸收剂